2022年7月に第26回参議院議員通常選挙が予定されています。
この選挙に向けて各政党が誰を候補者として擁立するのかについての報道もチラホラ流れるようになりました。
昨年2021年10月第49回衆議院議員選挙では立憲民主党と日本共産党との共闘がありましたが、
7月に控えている参議院選挙での共闘についてどのようになるのかについて2022年2月7日現在では定かではありません。
昨年、第49回衆議院選挙が執行される前に、
第45回から第48回までの小選挙区における自公とその他の政党の得票率について比較をしました。
その比較をみると野党共闘が実現すると自公とその他の政党が互角になる小選挙区が出てくることもわかってきました。
今回は同様のことを参議院選挙区選挙でも行ってみたいと思います。
自公とそれ以外の党がまとまった場合に、
各選挙区の与野党比率はどのような傾向になるのでしょうか?
利用するデータは総務省選挙関連資料 参議院議員通常選挙 速報結果*2です。
*2 https://www.soumu.go.jp/senkyo/senkyo_s/data/sangiin/ichiran.html
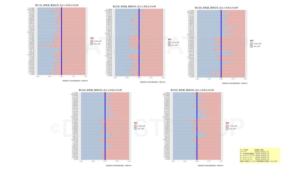
最初に自公得票率、その他の政党得票率の全体イメージをつかむために、
第21回から第25回参院選都道府県選挙区ごとに自公得票率、その他の政党得票率で比較をしたグラフをみてみます。

上記グラフをみると、
2007年 第21回参議院選挙では自公以外の得票率が高いという特徴があります。
この参議院選挙では年金問題等、
不祥事等が重なったこともあり各選挙区とも自公以外政党の得票率が高いことがわかります。
民主党が議席を28増やし、自由民主党、公明党がそれぞれ27議席、3議席を失いました。
選挙において有権者が投票する際に重要視する要素として「年金」は常に上位に位置します。

その有権者の関心が高い年金に関する不祥事が明らかになったことで、
自公以外に投票する有権者が多かったものと考えられます。
岐阜県がすべてその他の政党の得票率になっているのは自由民主党、公明党の候補者が存在しなかったためです。
2010年 第22回参院選になると第21回と比較してグラフの形状は似ていますが、
自公比率が少し戻し気味になっていることも読み取れます。
この選挙では2009年 第45回衆院選で民主党が自由民主党から政権交代をしましたが、
この選挙で民主党は10議席を失い、自由民主党は13議席を増やしました。
この22回参院選までは自公以外の得票率が高い地域が多かったのですが、
次の23回参議院選挙のグラフを見ると、
自公の得票率が多い選挙区が目立つようになってきます。
この第23回参院選では自由民主党が議席を31増やしました。
この選挙での全国での自公得票率、その他の政党の得票率を比較をすると、
21回、22回と非自公の得票率が50%大きく超えていたのですが、
この選挙では50%程度になりました。
この傾向は24回、25回参議院選挙まで続きます。
そして第24回、第25回とグラフを見ると大阪府を中心とした関西地域で非自公の得票率が増えているのが観察できます。
これは維新系政党が得票率を伸ばしていることが大きく影響しています。
また、沖縄県では22回、23回と非自公系の得票率が減少していましたが、
24回、25回参院選では得票率を盛り返してきています。
上記グラフで全体イメージがつかめたところで。
選挙区ごとに時系列でグラフで自公、その他の政党の得票率の推移を観察してみます。
こちらのグラフでは地域ごとの傾向がより把握しやすくなります。

全国レベルでは自公、その他の政党の得票率の差は21回,22回では広がっていたのですが、
その差は徐々に縮まっている傾向がわかります。
そして、民主党系が強いと言われている北海道ですが非自民系が徐々に得票率を減らしていることがわかります。
民主党系が強い傾向にある岩手県、三重県も非自公系の得票率が低下していることが観察できます。
一方、自民党が強い地域として群馬県がありますが、
ここでは自公系の得票率が低下傾向が見られます。
このように自公得票率、非自公得票率がどのように推移しているのか
自公得票率が増加傾向の地域
非自公得票率が増加傾向の地域
自公、非自公が拮抗している地域等
各自分類し、
各選挙区の傾向を推測してみるのも頭の体操になります。
なお前回の参議院選挙で政党ごとに市区町村別得票率を示したグラフが下記になります。
色が濃い部分が得票率の高かった地域です。

この夏の参議院選挙は今後の日本の方向性を決める選挙になるかもしれません。
各政党がこれまで公表してきた公約等は実際に実現できているのか? 等を
慎重に見極めて有権者は投票する必要がありそうです。
今回は参議院選挙区選挙における自公、その他の政党の比率について観察しました。
この記事をシェアする
選挙ドットコムの最新記事をお届けします