2025/11/14

日本のウナギを守ろう。
11月12日、立憲民主党日本の鰻を守る国会議員の会総会に出席、水産庁から聞き取りしました。

一部国家の誤解により、本来規制対象に入らない日本のウナギが国際条約による規制を受けそうになっている状況をなんとしても打開したいと多くの議員が力を合わせています。

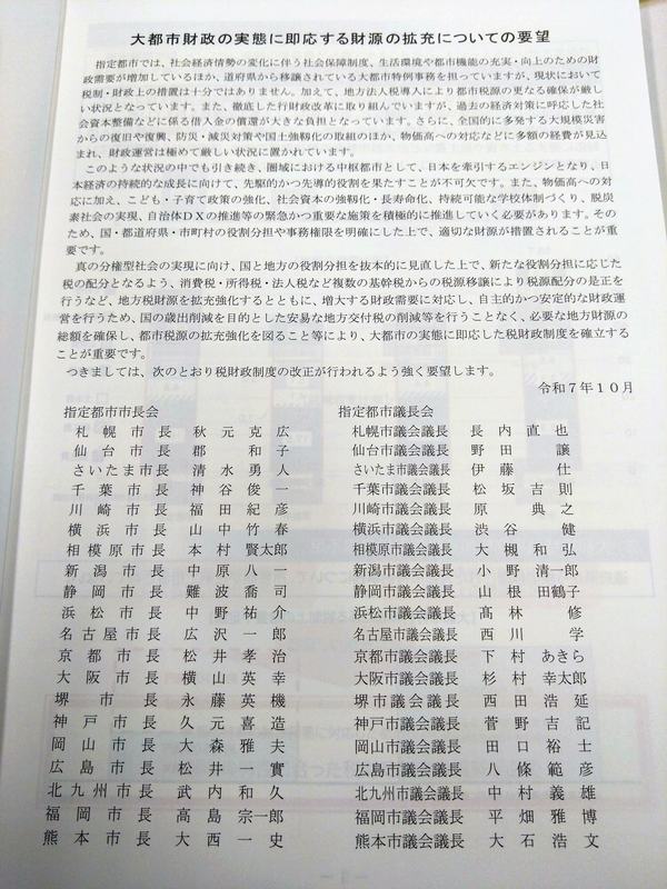
立憲民主党指定都市行財政問題懇談会にも出席しました。北九州市をはじめとした政令指定都市が抱える行財政問題について各自治体の党所属議員や職員から要望を受けました。北九州市の要望については北九州市東京事務所から預かりました。

都内の企業を訪問、円安の悪影響や利益の偏りを正す必要性、企業投資が多く内需に資する中堅企業への支援の重要性を改めて認識する機会をいただきました。今後の国会審議で高市内閣に改善を促します。
衆議院議員 きいたかし 福岡10区(北九州市門司区・小倉北区・小倉南区)
この記事をシェアする
ホーム>政党・政治家>きい たかし (キイ タカシ)>日本のウナギを守ろう。